Храм мцц. Веры, Надежды, Любови, и матери их Софии
в К о к о ш к и н е
Русская Православная Церковь Московская епархия
Открыт eжедневно с 8:00 до 20:00
Храм
Новости
Архив богослужений
Священнослужители
Ранее служившие
Ныне служащие
Устав Русской Правослоавной Церкви
Адрес и проезд
Контакты и реквизиты
Вск.школа
Православный культурно-развивающий центр «София».
Прих.газета
Архив печатных выпусков
Электронная версия
Редколлегия
История
Фотоархив
Информация
Архив богослужений
Новости
Адрес и проезд
Контакты и реквизиты
Священнослужители
Ныне служащие
Ранее служившие
Документы
Устав Русской Православной Церкви
Воскресная школа
Православный культурно-развивающий центр «София».
Жизнь воскресной школы
Катехизация
Преподаватели
Приходская газета
Электронная версия
Архив печатных выпусков
Редколлегия
История храма
Закладка храма
Водружение креста
Приезды архиерея
Фотоархив
Таинства
Венчание
Крещение
Миропомазание
Исповедь
Причастие
Соборование
История
Житие святых мучениц
История мощей святых мучениц
Закладка храма
История храмов
Византийские часы
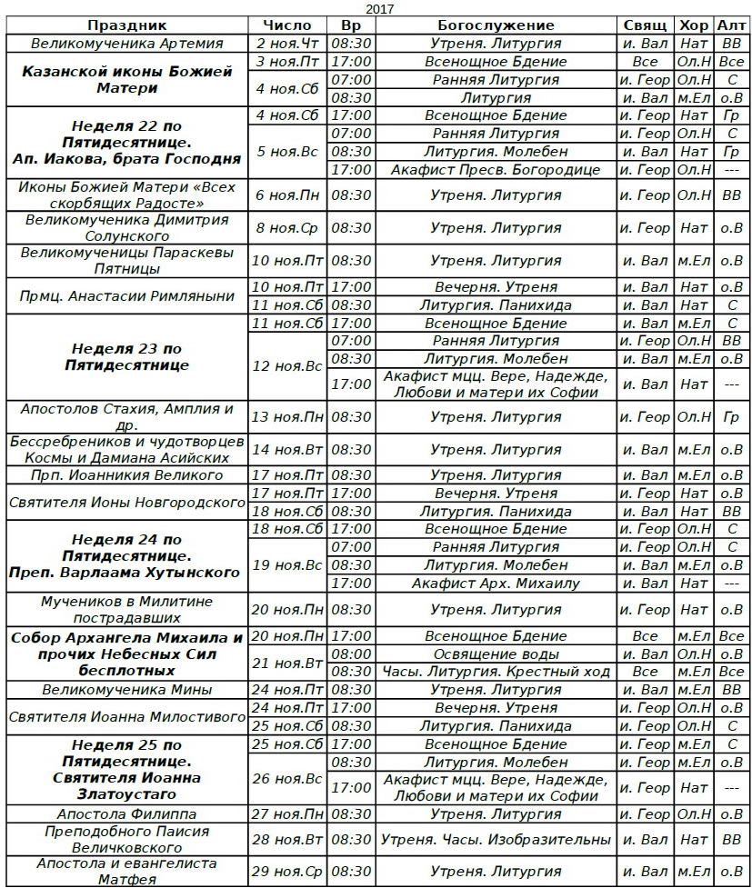
Расписание богослужений на ноябрь 2017
Наши передачи на радио "Радонеж"
Ведущий передач клирик нашего храма, священник Валерий Васильев.
Информация
Адрес и проезд
Архивные материалы
Архив приходской газеты
Архив расписаний богослужений
Фотоархив
Приходская газета
Архив
Редколлегия
Служения при храме
Социальное служение
Воскресная школа
Катехизация
Миссионерство